Упражнение 7.44 ГДЗ Дорофеев Суворова 7 класс (Алгебра)
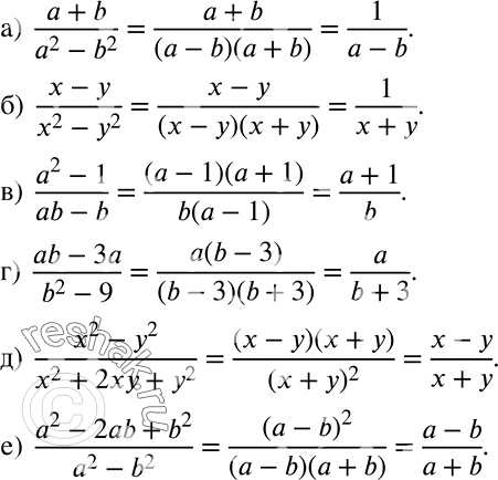
Сократите дробь: а) (a+b)/(a2-b2); б) (x-y)/(x2-y2); в) (a2-1)/(ab-b); г) (ab-3a)/(b2-9); д) (x2-y2)/(x2+2xy+y2); е) (a2-2ab+b2)/(a2-b2). *Цитирирование задания со ссылкой на учебник производится исключительно в учебных целях для лучшего понимания разбора решения задания.

Ниже вариант решения задания из учебника Дорофеев, Суворова, Бунимович 7 класс, Просвещение:
Сократите дробь:
а) (a+b)/(a2-b2);
б) (x-y)/(x2-y2);
в) (a2-1)/(ab-b);
г) (ab-3a)/(b2-9);
д) (x2-y2)/(x2+2xy+y2);
е) (a2-2ab+b2)/(a2-b2).
