Упражнение 7.45 ГДЗ Дорофеев Суворова 7 класс (Алгебра)
Выполните умножение (855—857). 855 а) (у - 3)(у + 3); б) (1 - х)(1 + х); в) (m — n)(m + n);

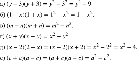
Ниже вариант решения задания из учебника Дорофеев, Суворова, Бунимович 7 класс, Просвещение:
Выполните умножение (855—857).
855 а) (у - 3)(у + 3);
б) (1 - х)(1 + х);
в) (m — n)(m + n);
г) (x + у)(x - у);
д) (х - 2)(2 + x);
е) (с + a)(a - с).
