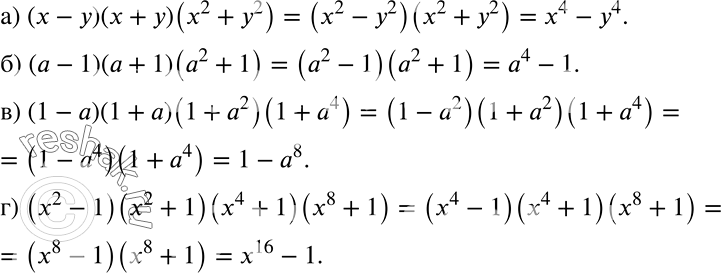
Упражнение 7.58 ГДЗ Дорофеев Суворова 7 класс (Алгебра)
а) (х - у)(х + у)(х2 + у2); б) (а - 1 )(а + 1)(а2 + 1); в) (1 - а)( 1 + а)(1 + а2)(1 + а4);

Ниже вариант решения задания из учебника Дорофеев, Суворова, Бунимович 7 класс, Просвещение:
а) (х - у)(х + у)(х2 + у2);
б) (а - 1 )(а + 1)(а2 + 1);
в) (1 - а)( 1 + а)(1 + а2)(1 + а4);
г) (х2 - 1)(х2 + 1)(х4 + 1)(х8 + 1).
