Упражнение 7.63 ГДЗ Дорофеев Суворова 7 класс (Алгебра)
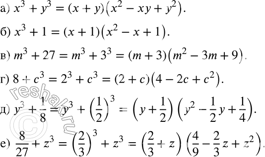
Разложите на множители (873—874). 873 а) x3 + у3; б) x3 + 1; в) m3 + 27; г) 8 + с3;

Ниже вариант решения задания из учебника Дорофеев, Суворова, Бунимович 7 класс, Просвещение:
Разложите на множители (873—874).
873 а) x3 + у3;
б) x3 + 1;
в) m3 + 27;
г) 8 + с3;
д) у3 + 1/8;
е) 8/27 + z3.
