Упражнение 7.61 ГДЗ Дорофеев Суворова 7 класс (Алгебра)
Выполните умножение по правилу умножения многочленов: а) (х + 1)(x2 - х + 1); б) (а - с)(а2 + ас + с2).

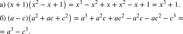
Ниже вариант решения задания из учебника Дорофеев, Суворова, Бунимович 7 класс, Просвещение:
Выполните умножение по правилу умножения многочленов:
а) (х + 1)(x2 - х + 1);
б) (а - с)(а2 + ас + с2).
