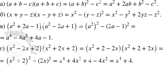
Упражнение 7.60 ГДЗ Дорофеев Суворова 7 класс (Алгебра)
a) (а + b - с)(а + b + с); б) (х + у - 2)(х - у + 2); в) (а2 + 2а - 1)(а2 - 2а + 1);

Ниже вариант решения задания из учебника Дорофеев, Суворова, Бунимович 7 класс, Просвещение:
a) (а + b - с)(а + b + с);
б) (х + у - 2)(х - у + 2);
в) (а2 + 2а - 1)(а2 - 2а + 1);
г) (х2 - 2х + 2)(х2 + 2х + 2).
