Упражнение 7.59 ГДЗ Дорофеев Суворова 7 класс (Алгебра)
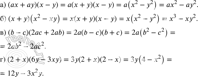
Используйте формулу (а - b)(a + b) = а2 - b2 для преобразования произведения в многочлен (869—870). 869 а) (ах + аy)(х - у);

Ниже вариант решения задания из учебника Дорофеев, Суворова, Бунимович 7 класс, Просвещение:
Используйте формулу (а - b)(a + b) = а2 - b2 для преобразования произведения в многочлен (869—870).
869 а) (ах + аy)(х - у);
б) (х + у)(х2 - ху);
в) (b - с)(2ас + 2ab);
г) (2 + х)(6y - 3ху).
