Упражнение 7.62 ГДЗ Дорофеев Суворова 7 класс (Алгебра)
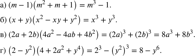
Выполните умножение, используя формулу суммы кубов или разности кубов: а) (m - 1)(m2 + m + 1); б) (x + у)(х2 - ху + у2);

Ниже вариант решения задания из учебника Дорофеев, Суворова, Бунимович 7 класс, Просвещение:
Выполните умножение, используя формулу суммы кубов или разности кубов:
а) (m - 1)(m2 + m + 1);
б) (x + у)(х2 - ху + у2);
в) (2а + 2b)(4а2 - 4аb + 4b2);
г) (2 - у2)(4 + 2у2 + у4).
