Упражнение 7.84 ГДЗ Дорофеев Суворова 7 класс (Алгебра)
а) х2(х - 3) + 10л(x - 3) + 25(x - 3); б) 4с3(с + 2) + 9(с + 2) - 12с(с + 2);

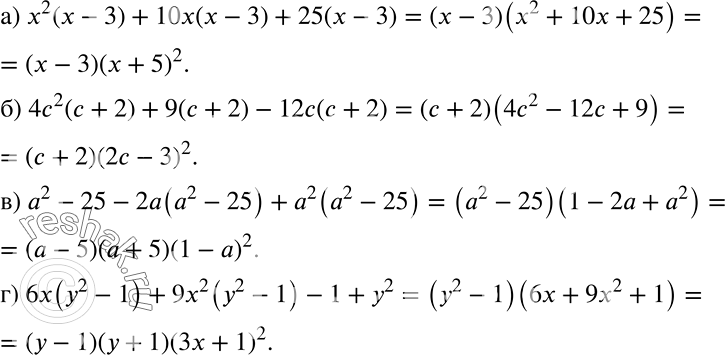
Ниже вариант решения задания из учебника Дорофеев, Суворова, Бунимович 7 класс, Просвещение:
а) х2(х - 3) + 10л(x - 3) + 25(x - 3);
б) 4с3(с + 2) + 9(с + 2) - 12с(с + 2);
в) a2 - 25 - 2a (a2-25)+ a2(a2-25);
г) 6x(y2-1)+9x3(y2-1) - 1 + y2.
