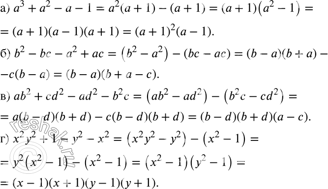
Упражнение 7.81 ГДЗ Дорофеев Суворова 7 класс (Алгебра)
а) а3 + а2 - а - 1; б) b2 - bс - а2 + ас; в) ab2 + cd2 - ad2 - b2c;

Ниже вариант решения задания из учебника Дорофеев, Суворова, Бунимович 7 класс, Просвещение:
а) а3 + а2 - а - 1;
б) b2 - bс - а2 + ас;
в) ab2 + cd2 - ad2 - b2c;
г) х2у2 + 1 - у2 - х2.
