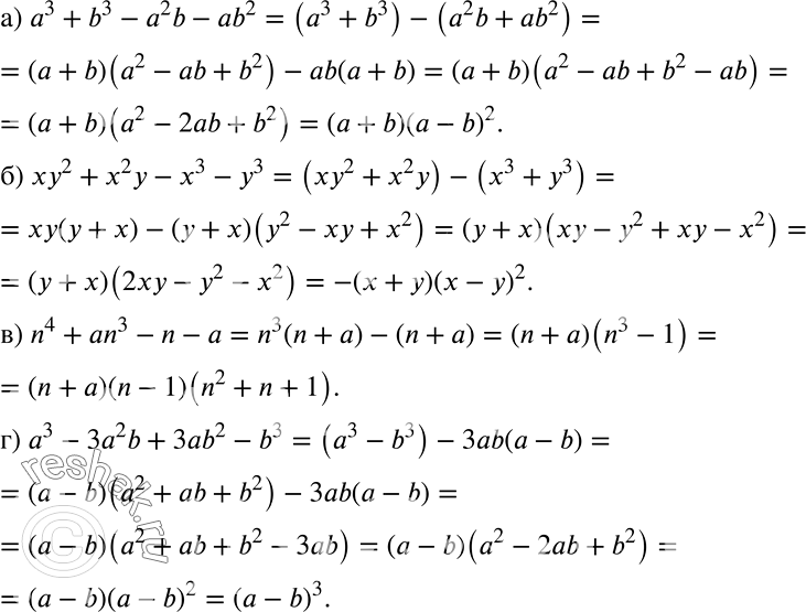
Упражнение 7.82 ГДЗ Дорофеев Суворова 7 класс (Алгебра)
а) а3 + b3 - а2b - аb2; б) ху2 + х2у - x3 - у3; в) n4 + аn3 - n - а;

Ниже вариант решения задания из учебника Дорофеев, Суворова, Бунимович 7 класс, Просвещение:
а) а3 + b3 - а2b - аb2;
б) ху2 + х2у - x3 - у3;
в) n4 + аn3 - n - а;
г) а3 - 3а2b + 3ab2 - b3.
