Упражнение 175 ГДЗ Колягин Ткачёва 7 класс (Алгебра)
Записать в виде равенства и проверить, верно ли оно: 1) 20 % от числа 240 равны 62; 2) число 18 составляет 3 % от числа 600;


Ниже вариант решения задания из учебника Колягин, Ткачёва, Фёдорова 7 класс, Просвещение:
Записать в виде равенства и проверить, верно ли оно:
1) 20 % от числа 240 равны 62;
2) число 18 составляет 3 % от числа 600;
3) произведение чисел 15 2/5 и 5 составляет 11 % от числа 700;
4) четвертая часть числа 18 равна 5 % от числа 90;
5) 111:3 равно 10 % от числа 370;
6) 650 % от числа 12 равны 77.
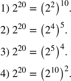
Представить 2^20 в виде степени с основанием:
1) 2^2;
2) 2^4;
3) 2^5;
4) 2^10.
