Упражнение 181 ГДЗ Колягин Ткачёва 7 класс (Алгебра)
Найти значение выражения: 1) 5(bc+m)/(2q+4 1/4) при b=2/3,c=6,q=1/2,m=1/5; 2) (3(x-y))/(2p+q)-1 при x=8,31,y=2,29,p=2,01,q=2. Возвести в степень произведение: 1) (10n^2 m^3 )^4; 2) (8a^4 b^7 )^3;


Ниже вариант решения задания из учебника Колягин, Ткачёва, Фёдорова 7 класс, Просвещение:
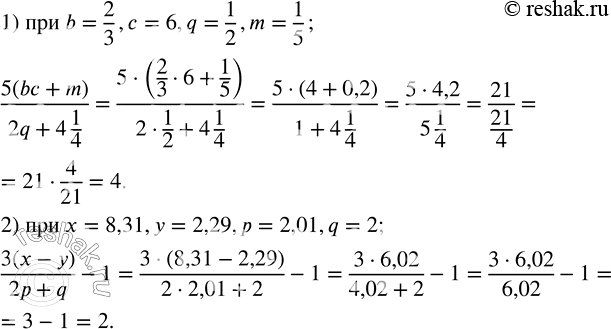
Найти значение выражения:
1) 5(bc+m)/(2q+4 1/4) при b=2/3,c=6,q=1/2,m=1/5;
2) (3(x-y))/(2p+q)-1 при x=8,31,y=2,29,p=2,01,q=2.
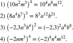
Возвести в степень произведение:
1) (10n^2 m^3 )^4;
2) (8a^4 b^7 )^3;
3) (-2,3a^3 b^4 )^2;
4) (-2nm^3 )^4.
