Упражнение 180 ГДЗ Колягин Ткачёва 7 класс (Алгебра)
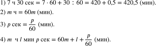
Сколько минут: 1) в 7 ч 30 с; 2) в m часах; 3) в p секундах; 4) в m часах, l минутах и p секундах?Возвести в степень произведение:


Ниже вариант решения задания из учебника Колягин, Ткачёва, Фёдорова 7 класс, Просвещение:
Сколько минут: 1) в 7 ч 30 с; 2) в m часах; 3) в p секундах; 4) в m часах, l минутах и p секундах?
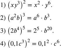
Возвести в степень произведение:
1) (xy^3 )^2;
2) (a^2 b)^3;
3) (2b^4 )^5;
4) (0,1c^3 )^2.
