Упражнение 184 ГДЗ Колягин Ткачёва 7 класс (Алгебра)
Может ли при каком-либо значении a быть равным нулю значение алгебраического выражения: 1) a+999 999; 2) 3/(a-5); 3) (a-1)/(47+a); 4) a^2+1?Записать в виде степени произведения выражение:


Ниже вариант решения задания из учебника Колягин, Ткачёва, Фёдорова 7 класс, Просвещение:
Может ли при каком-либо значении a быть равным нулю значение алгебраического выражения:
1) a+999 999; 2) 3/(a-5); 3) (a-1)/(47+a); 4) a^2+1?
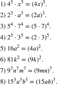
Записать в виде степени произведения выражение:
1) 4^5•x^5;
2) 2^3•a^3;
3) 5^4•7^4;
4) 2^5•3^5;
5) 16a^2;
6) 81k^2;
7) 9^7 n^7 m^7;
8) ?15?^3 a^3 b^3.
