Упражнение 179 ГДЗ Колягин Ткачёва 7 класс (Алгебра)
Найти значение алгебраического выражения: 1) 3a-2b при a=1/3, b=1; a=0,01, b=1/4; 2) 2a+3b при a=3, b=-2; a=-1,4, b=-3,1; 3) 0,25a-4c^2 при a=4, c=3;


Ниже вариант решения задания из учебника Колягин, Ткачёва, Фёдорова 7 класс, Просвещение:
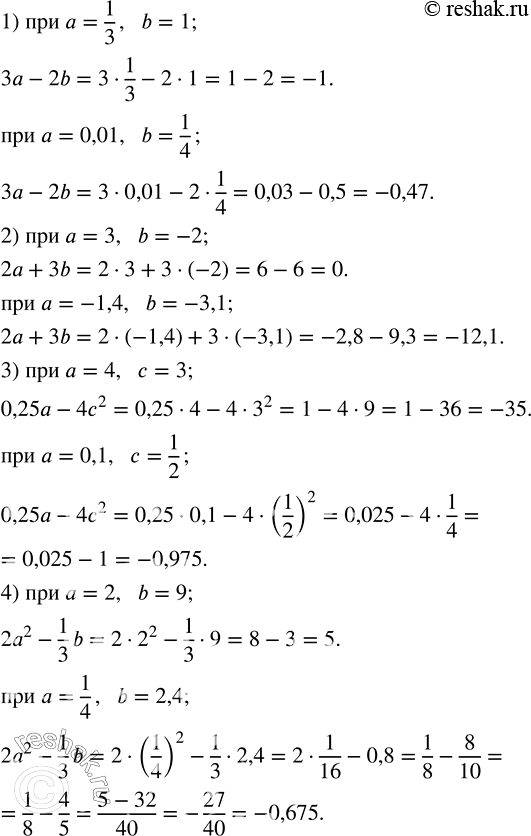
Найти значение алгебраического выражения:
1) 3a-2b при a=1/3, b=1; a=0,01, b=1/4;
2) 2a+3b при a=3, b=-2; a=-1,4, b=-3,1;
3) 0,25a-4c^2 при a=4, c=3; a=0,1, c=1/2;
4) 2a^2-1/3 b при a=2, b=9; a=1/4, b=2,4.
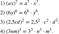
Возвести в степень произведение:
1) (ax)^7;
2) (6y)^6;
3) (2,5cd)^2;
4) (3nm)^3.
