Вводные упражнения 9 ГДЗ Колягин Ткачёва 7 класс (Алгебра)
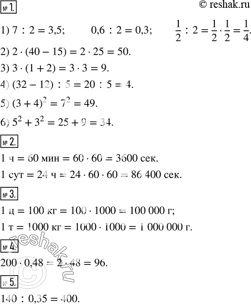
Найти: 1) половину числа 7; 0,6; 1/2; 2) удвоенную разность чисел 40 и 15; 3) число, в 3 раза большее суммы чисел 1 и 2;

Ниже вариант решения задания из учебника Колягин, Ткачёва, Фёдорова 7 класс, Просвещение:
Найти:
1) половину числа 7; 0,6; 1/2;
2) удвоенную разность чисел 40 и 15;
3) число, в 3 раза большее суммы чисел 1 и 2;
4) число, в 5 раз меньшее разности чисел 32 и 12;
5) квадрат суммы чисел 3 и 4;
6) сумму квадратов чисел 5 и 3.
2. Найти число секунд в часе; в сутках.
3. Найти число граммов в центнере; в тонне.
4. Найти 48 % от числа 200.
5. Найти число, 35 % которого равны 140.
