Упражнение 183 ГДЗ Колягин Ткачёва 7 класс (Алгебра)
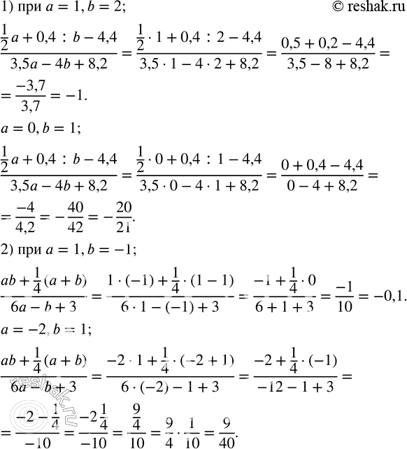
Найти значение алгебраического выражения: 1) ( 1/2 a+0,4:b-4,4)/(3,5a-4b+8,2) при a=1,b=2; a=0,b=1; 2) (ab+1/4 (a+b))/(6a-b+3) при a=1,b=-1; a=-2,b=1. (Устно.) Какую часть объема куба составляет куб, ребро которого составляет 1/2;


Ниже вариант решения задания из учебника Колягин, Ткачёва, Фёдорова 7 класс, Просвещение:
Найти значение алгебраического выражения:
1) ( 1/2 a+0,4:b-4,4)/(3,5a-4b+8,2) при a=1,b=2; a=0,b=1;
2) (ab+1/4 (a+b))/(6a-b+3) при a=1,b=-1; a=-2,b=1.
(Устно.) Какую часть объема куба составляет куб, ребро которого составляет 1/2; 1/10 часть ребра первого куба?
