Упражнение 178 ГДЗ Колягин Ткачёва 7 класс (Алгебра)
Записать: 1) удвоенную сумму чисел 5 и m; 2) половину разности чисел c и d; 3) сумму числа 12 и произведения чисел a и b;


Ниже вариант решения задания из учебника Колягин, Ткачёва, Фёдорова 7 класс, Просвещение:
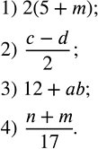
Записать:
1) удвоенную сумму чисел 5 и m;
2) половину разности чисел c и d;
3) сумму числа 12 и произведения чисел a и b;
4) частное от деления суммы чисел n и m на число 17.
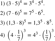
Возвести в степень произведение:
1) (3•5)^4;
2) (7•6)^5;
3) (1,3•8)^5;
4) (4•1/7)^3.
