Упражнение 206 ГДЗ Колягин Ткачёва 7 класс (Алгебра)
Доказать, что: 1) удвоенная сумма чисел 3a и 7b равна одной трети суммы чисел 18a и 42b; 2) число, противоположное разности чисел 0,2y и 0,3x, равно одной десятой разности чисел 3x и 2y.Вычислить:


Ниже вариант решения задания из учебника Колягин, Ткачёва, Фёдорова 7 класс, Просвещение:
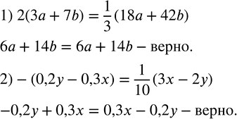
Доказать, что:
1) удвоенная сумма чисел 3a и 7b равна одной трети суммы чисел 18a и 42b;
2) число, противоположное разности чисел 0,2y и 0,3x, равно одной десятой разности чисел 3x и 2y.
Вычислить:
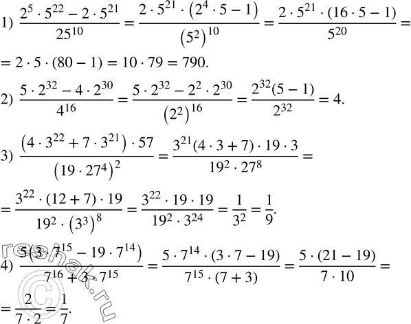
1) (2^5•5^22-2•5^21)/?25?^10 ;
2) (5•2^32-4•2^30)/4^16 ;
3) ((4•3^22+7•3^21 )•57)/(19•?27?^4 )^2 ;
4) 5(3•7^15-19•7^14 )/(7^16+3•7^15 ).
