Упражнение 208 ГДЗ Колягин Ткачёва 7 класс (Алгебра)
Три группы учащихся собирали фрукты. Первая группа собрала 80 % того, что собрала вторая группа, а третья группа собрала 50 % того, что собрали первые две группы.


Ниже вариант решения задания из учебника Колягин, Ткачёва, Фёдорова 7 класс, Просвещение:
Три группы учащихся собирали фрукты. Первая группа собрала 80 % того, что собрала вторая группа, а третья группа собрала 50 % того, что собрали первые две группы. Какая группа собрала больше фруктов?
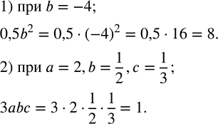
Найти числовое значение одночлена:
1) 0,5b^2 при b=-4;
2) 3abc при a=2,b=1/2,c=1/3.
