Упражнение 204 ГДЗ Колягин Ткачёва 7 класс (Алгебра)
Используя свойства арифметических действий, вычислить: 1) 1/7 (0,14+2,1-3,5); 2) 1/12 (4,8-0,24-1,2); 3) (18 6/7+21 3/4) :3; 4) (15 5/7+20 15/16)•1/5. Вычислить с помощью микрокалькулятора:


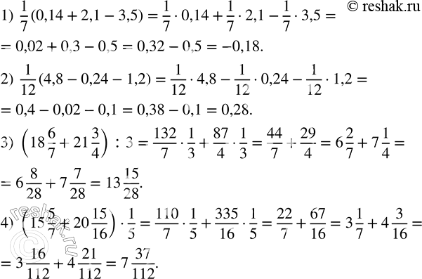
Ниже вариант решения задания из учебника Колягин, Ткачёва, Фёдорова 7 класс, Просвещение:
Используя свойства арифметических действий, вычислить:
1) 1/7 (0,14+2,1-3,5);
2) 1/12 (4,8-0,24-1,2);
3) (18 6/7+21 3/4) :3;
4) (15 5/7+20 15/16)•1/5.
Вычислить с помощью микрокалькулятора:
1) 3^10; 2) 5^9; 3) (2,3)^4; 4) (1,3)^5.
