Упражнение 201 ГДЗ Колягин Ткачёва 7 класс (Алгебра)
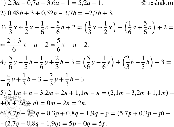
Привести подобные слагаемые: 1) 2,3a-0,7a+3,6a-1; 2) 0,48b+3+0,52b-3,7b; 3) 1/3 x+1/2 x-1/6 a-5/6 a+2; 4) 5/6 y-1/3 b-1/6 y+2/3 b-3; 5) 2,1m+n-3,2m+2n+1,1m-n;


Ниже вариант решения задания из учебника Колягин, Ткачёва, Фёдорова 7 класс, Просвещение:
Привести подобные слагаемые:
1) 2,3a-0,7a+3,6a-1;
2) 0,48b+3+0,52b-3,7b;
3) 1/3 x+1/2 x-1/6 a-5/6 a+2;
4) 5/6 y-1/3 b-1/6 y+2/3 b-3;
5) 2,1m+n-3,2m+2n+1,1m-n;
6) 5,7p-2,7q+0,3p+0,8q+1,9q-p.
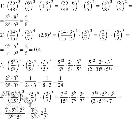
Вычислить:
1) (35/48)^3•(6/7)^3•(1 3/5)^2;
2) (14/15)^4•(3/7)^4•(2,5)^3;
3) (5^3/6^2 )^4•(2/5)^5•(3/5)^7;
4) (7^4/?15?^2 )^3•(5/7)^6•(3/7)^5.
