Упражнение 203 ГДЗ Колягин Ткачёва 7 класс (Алгебра)
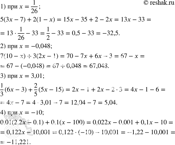
Упростить выражение и найти его числовое значение: 1) 5(3x-7)+2(1-x) при x=1/26; 2) 7(10-x)+3(2x-1) при x=-0,048; 3) 1/3 (6x-3)+2/5 (5x-15) при x=3,01;


Ниже вариант решения задания из учебника Колягин, Ткачёва, Фёдорова 7 класс, Просвещение:
Упростить выражение и найти его числовое значение:
1) 5(3x-7)+2(1-x) при x=1/26;
2) 7(10-x)+3(2x-1) при x=-0,048;
3) 1/3 (6x-3)+2/5 (5x-15) при x=3,01;
4) 0,01(2,2x-0,1)+0,1(x-100) при x=-10.
1) Масса Земли равна 6·10^24 кг; масса Солнца - 2·10^30 кг. Во сколько раз масса Земли меньше массы Солнца?
2) Вычислить приближенно, сколько лет луч света идет от Земли до Сириуса, если расстояние от Земли до звезды Сириус равно 83 000 000 000 000 км.
