Упражнение 202 ГДЗ Колягин Ткачёва 7 класс (Алгебра)
Упростить выражение: 1) 3(2x+1)+5(1+3x); 2) 4(2+x)-3(1+x); 3) 10(n+m)-4(2m+7n); 4) 11(5c+d)+3(d+c). Найти шестую степень числа, если: 1) его квадрат равен 0,25; 400;


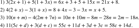
Ниже вариант решения задания из учебника Колягин, Ткачёва, Фёдорова 7 класс, Просвещение:
Упростить выражение:
1) 3(2x+1)+5(1+3x);
2) 4(2+x)-3(1+x);
3) 10(n+m)-4(2m+7n);
4) 11(5c+d)+3(d+c).
Найти шестую степень числа, если:
1) его квадрат равен 0,25; 400; 11 1/9;
2) его куб равен 0,008; 125; 3 3/8; 37 1/27.
