Упражнение 205 ГДЗ Колягин Ткачёва 7 класс (Алгебра)
Упростить выражение: 1) 1,2a-(0,2a+b); 2) 0,7x-(2y-0,7x); 3) 0,1(x-2y)+0,2(x+y); 4) 2/3 (m-3n)+1/3 (n-2m); 5) 8(a+3b)-9(a+b); 6) 3(c+d)-7(d+2c). Какое из чисел больше: 1) ?54?^4 или ?21?^12;


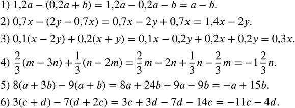
Ниже вариант решения задания из учебника Колягин, Ткачёва, Фёдорова 7 класс, Просвещение:
Упростить выражение:
1) 1,2a-(0,2a+b);
2) 0,7x-(2y-0,7x);
3) 0,1(x-2y)+0,2(x+y);
4) 2/3 (m-3n)+1/3 (n-2m);
5) 8(a+3b)-9(a+b);
6) 3(c+d)-7(d+2c).
Какое из чисел больше:
1) ?54?^4 или ?21?^12;
2) ?10?^20 или ?20?^10;
3) ?100?^20 или ?9000?^10;
4) 6^20 или 3^40?
