Упражнение 210 ГДЗ Колягин Ткачёва 7 класс (Алгебра)
Раскрыть скобки: 1) a+(2b-3c); 2) a-(2b-3c); 3) a-(2b+3c); 4) -(a-2b+3c). Записать одночлен в стандартном виде и определить его степень: 1) 3m^4 m;


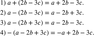
Ниже вариант решения задания из учебника Колягин, Ткачёва, Фёдорова 7 класс, Просвещение:
Раскрыть скобки:
1) a+(2b-3c);
2) a-(2b-3c);
3) a-(2b+3c);
4) -(a-2b+3c).
Записать одночлен в стандартном виде и определить его степень:
1) 3m^4 m;
2) z^5 z^5 z;
3) -ab•5;
4) (-m)(-m^3 );
5) 5^2 pq^2 (-4)^2 qp;
6) 2^3 qp^2 (-3)^2 pq.
