Упражнение 211 ГДЗ Колягин Ткачёва 7 класс (Алгебра)
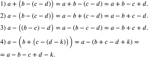
Раскрыть скобки: 1) a+(b-(c-d)); 2) a-(b-(c-d)); 3) a-((b-c)-d); 4) a-(b+(c-(d-k))). Записать одночлен в стандартном виде и найти его числовое значение: 1) ac•12c при a=-1/3, c=-1/6;


Ниже вариант решения задания из учебника Колягин, Ткачёва, Фёдорова 7 класс, Просвещение:
Раскрыть скобки:
1) a+(b-(c-d));
2) a-(b-(c-d));
3) a-((b-c)-d);
4) a-(b+(c-(d-k))).
Записать одночлен в стандартном виде и найти его числовое значение:
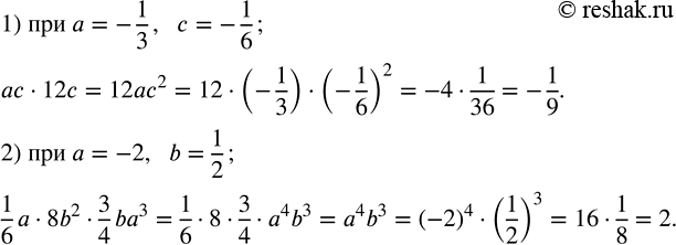
1) ac•12c при a=-1/3, c=-1/6;
2) 1/6 a•8b^2•3/4 ba^3 при a=-2, b=1/2.
