Упражнение 215 ГДЗ Колягин Ткачёва 7 класс (Алгебра)
Упростить: 1) (5a-2b)-(3b-5a); 2) (6a-b)-(2a+3b); 3) 7x+3y-(-3x+3y); 4) 8x-(3x-2y)-5y. Выполните умножение одночленов: 1) (-1/3 m^2 )(-24n)(4nm); 2) (-18n)(-1/6 m^2 )(-5nm); 3) (1/3 ay^3 )(3/4 x^2 y)(0,2a^3 x);


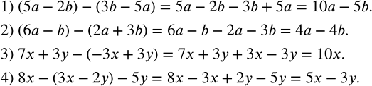
Ниже вариант решения задания из учебника Колягин, Ткачёва, Фёдорова 7 класс, Просвещение:
Упростить:
1) (5a-2b)-(3b-5a);
2) (6a-b)-(2a+3b);
3) 7x+3y-(-3x+3y);
4) 8x-(3x-2y)-5y.
Выполните умножение одночленов:
1) (-1/3 m^2 )(-24n)(4nm);
2) (-18n)(-1/6 m^2 )(-5nm);
3) (1/3 ay^3 )(3/4 x^2 y)(0,2a^3 x);
4) (-13a^2 bc)(-5ab^2 c)(-0,4abc^3 ).
