Упражнение 213 ГДЗ Колягин Ткачёва 7 класс (Алгебра)
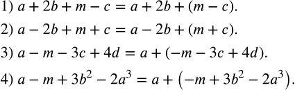
Заключить в скобки все слагаемые, начиная с числа m или (-m), поставив перед скобками знак «+»: 1) a+2b+m-c; 2) a-2b+m+c; 3) a-m-3c+4d;


Ниже вариант решения задания из учебника Колягин, Ткачёва, Фёдорова 7 класс, Просвещение:
Заключить в скобки все слагаемые, начиная с числа m или (-m), поставив перед скобками знак «+»:
1) a+2b+m-c;
2) a-2b+m+c;
3) a-m-3c+4d;
4) a-m+3b^2-2a^3.
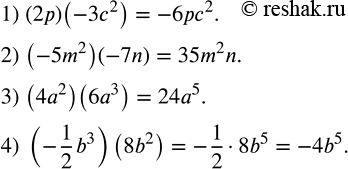
Выполните умножение одночленов:
1) (2p)(-3c^2 );
2) (-5m^2 )(-7n);
3) (4a^2 )(6a^3 );
4) (-1/2 b^3 )(8b^2 ).
