Упражнение 214 ГДЗ Колягин Ткачёва 7 класс (Алгебра)
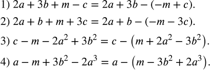
Заключить в скобки все слагаемые, начиная с числа m или (-m), поставив перед скобками знак «-»: 1) 2a+3b+m-c; 2) 2a+b+m+3c; 3) c-m-2a^2+3b^2;


Ниже вариант решения задания из учебника Колягин, Ткачёва, Фёдорова 7 класс, Просвещение:
Заключить в скобки все слагаемые, начиная с числа m или (-m), поставив перед скобками знак «-»:
1) 2a+3b+m-c;
2) 2a+b+m+3c;
3) c-m-2a^2+3b^2;
4) a-m+3b^2-2a^3.
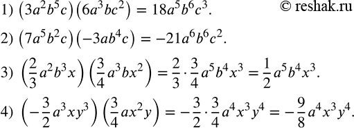
Выполните умножение одночленов:
1) (3a^2 b^5 c)(6a^3 bc^2 );
2) (7a^5 b^2 c)(-3ab^4 c);
3) (2/3 a^2 b^3 x)(3/4 a^3 bx^2 );
4) (-3/2 a^3 xy^3 )(3/4 ax^2 y).
