Упражнение 212 ГДЗ Колягин Ткачёва 7 класс (Алгебра)
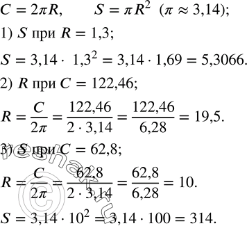
Раскрыть скобки и упростить: 1) 3a-(a+2b); 2) 5x-(2y-3x); 3) 3m-(5m-(2-1)); 4) 4a+(2a-(3a+2)). Длина окружности радиуса R выражается формулой C=2?R; площадь круга радиуса R выражается формулой S=?R^2 (??3,14).


Ниже вариант решения задания из учебника Колягин, Ткачёва, Фёдорова 7 класс, Просвещение:
Раскрыть скобки и упростить:
1) 3a-(a+2b);
2) 5x-(2y-3x);
3) 3m-(5m-(2-1));
4) 4a+(2a-(3a+2)).
Длина окружности радиуса R выражается формулой C=2?R; площадь круга радиуса R выражается формулой S=?R^2 (??3,14). С помощью микрокалькулятора вычислить:
1) S при R=1,3; 2) R при C=122,46; 3) S при C=62,8.
