Вводные упражнения 13 ГДЗ Колягин Ткачёва 7 класс (Алгебра)
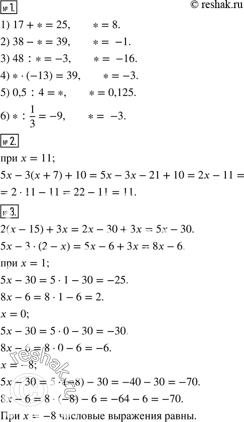
Вместо знака * записать такое число, чтобы полученное равенство было верным: 1) 17+*=25; 2) 38-*=39; 3) 48:*=-3; 4)*•(-13)=39; 5) 0,5:4=*; 6)*:1/3=-9.


Ниже вариант решения задания из учебника Колягин, Ткачёва, Фёдорова 7 класс, Просвещение:
Вместо знака * записать такое число, чтобы полученное равенство было верным:
1) 17+*=25; 2) 38-*=39; 3) 48:*=-3;
4)*•(-13)=39; 5) 0,5:4=*; 6)*:1/3=-9.
2. Упростить выражение 5x-3(x+7)+10 и найти его числовое значение при x=11.
3. Найти числовые значения выражений 2(x-15)+3x и 5x-3(2-x) при x=1; x=0; x=-8. При каком из данных значений x числовые значения выражений равны?
4. Существует ли значение y, при котором числовые значения выражений 9y-7 и 9y+5 равны? Ответ обосновать.
5. Существует ли значение x, при котором числовые значения выражений 14x+21 и 7(2x+3) различны? Ответ обосновать.
