Упражнение 241 ГДЗ Колягин Ткачёва 7 класс (Алгебра)
Записать в виде равенства: 1) число 34 на 18 больше числа x; 2) число 56 в x раз больше числа 14;


Ниже вариант решения задания из учебника Колягин, Ткачёва, Фёдорова 7 класс, Просвещение:
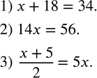
Записать в виде равенства:
1) число 34 на 18 больше числа x;
2) число 56 в x раз больше числа 14;
3) полусумма чисел x и 5 равна их произведению.
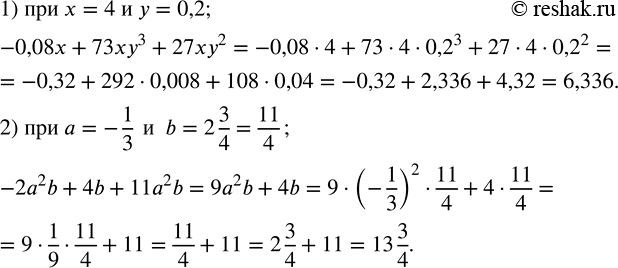
Найти значение многочлена:
1) -0,08x+73xy^3+27xy^2 при x=4 и y=0,2;
2) -2a^2 b+4b+11a^2 b при a=-1/3 и b=2 3/4.
