Упражнение 248 ГДЗ Колягин Ткачёва 7 класс (Алгебра)
Записать данное утверждение в виде равенства и найти значение x, при котором равенство верно: 1) число x составляет 18 % числа 75;


Ниже вариант решения задания из учебника Колягин, Ткачёва, Фёдорова 7 класс, Просвещение:
Записать данное утверждение в виде равенства и найти значение x, при котором равенство верно:
1) число x составляет 18 % числа 75;
2) число 15 составляет 25 % числа x.
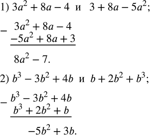
Найти «столбиком» разность многочленов:
1) 3a^2+8a-4 и 3+8a-5a^2;
2) b^3-3b^2+4b и b+2b^2+b^3.
