Упражнение 247 ГДЗ Колягин Ткачёва 7 класс (Алгебра)
Выяснить, имеет ли корни уравнение при заданном значении a: 1) 3x+a=3x+5 при a=1; 2) 1/2 x+3=1/2 x+a при a=4. Указать такое значение a, при котором данное уравнение имеет корни.


Ниже вариант решения задания из учебника Колягин, Ткачёва, Фёдорова 7 класс, Просвещение:
Выяснить, имеет ли корни уравнение при заданном значении a:
1) 3x+a=3x+5 при a=1; 2) 1/2 x+3=1/2 x+a при a=4.
Указать такое значение a, при котором данное уравнение имеет корни.
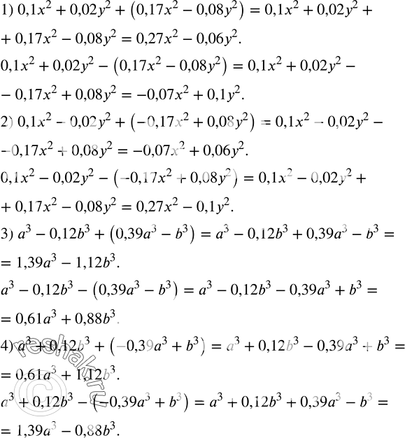
Найти сумму и разность многочленов:
1) 0,1x^2+0,02y^2 и 0,17x^2-0,08y^2;
2) 0,1x^2-0,02y^2 и -0,17x^2+0,08y^2;
3) a^3-0,12b^3 и 0,39a^3-b^3;
4) a^3+0,12b^3 и -0,39a^3+b^3.
