Упражнение 245 ГДЗ Колягин Ткачёва 7 класс (Алгебра)
Составить уравнение, корнем которого является число: 1) 5; 2) 3; 3) 0; 4) -4.Упростить алгебраическую сумму многочленов: 1) (2 3/5 b-3/4 b^2 )+(1/4 b^2-1 3/5 b);


Ниже вариант решения задания из учебника Колягин, Ткачёва, Фёдорова 7 класс, Просвещение:
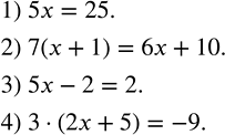
Составить уравнение, корнем которого является число:
1) 5; 2) 3; 3) 0; 4) -4.
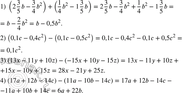
Упростить алгебраическую сумму многочленов:
1) (2 3/5 b-3/4 b^2 )+(1/4 b^2-1 3/5 b);
2) (0,1c-0,4c^2 )-(0,1c-0,5c^2 );
3) (13x-11y+10z)-(-15x+10y-15z);
4) (17a+12b-14c)-(11a-10b-14c).
