Упражнение 244 ГДЗ Колягин Ткачёва 7 класс (Алгебра)
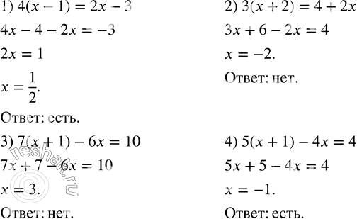
Есть ли среди чисел -1; 1/2; 0 корень уравнения: 1) 4(x-1)=2x-3; 2) 3(x+2)=4+2x; 3) 7(x+1)-6x=10; 4) 5(x+1)-4x=4. Упростить алгебраическую сумму многочленов:


Ниже вариант решения задания из учебника Колягин, Ткачёва, Фёдорова 7 класс, Просвещение:
Есть ли среди чисел -1; 1/2; 0 корень уравнения:
1) 4(x-1)=2x-3;
2) 3(x+2)=4+2x;
3) 7(x+1)-6x=10;
4) 5(x+1)-4x=4.
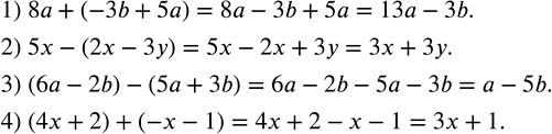
Упростить алгебраическую сумму многочленов:
1) 8a+(-3b+5a);
2) 5x-(2x-3y);
3) (6a-2b)-(5a+3b);
4) (4x+2)+(-x-1).
