Упражнение 246 ГДЗ Колягин Ткачёва 7 класс (Алгебра)
Подобрать число a так, чтобы уравнение 4x-3=2x+a имело корень: 1) x=1; 2) x=-1; 3) x=1/2; 4) x=0,3.Упростить алгебраическую сумму многочленов: 1) (7m^2-4mn-n^2 )-(2m^2-mn+n^2 );


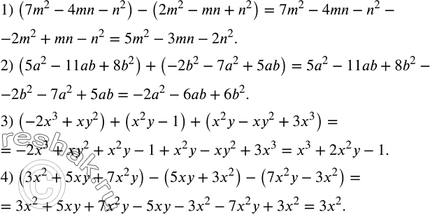
Ниже вариант решения задания из учебника Колягин, Ткачёва, Фёдорова 7 класс, Просвещение:
Подобрать число a так, чтобы уравнение 4x-3=2x+a имело корень:
1) x=1; 2) x=-1; 3) x=1/2; 4) x=0,3.
Упростить алгебраическую сумму многочленов:
1) (7m^2-4mn-n^2 )-(2m^2-mn+n^2 );
2) (5a^2-11ab+8b^2 )+(-2b^2-7a^2+5ab);
3) (-2x^3+xy^2 )+(x^2 y-1)+(x^2 y-xy^2+3x^3 );
4) (3x^2+5xy+7x^2 y)-(5xy+3x^2 )-(7x^2 y-3x^2 ).
