Упражнение 249 ГДЗ Колягин Ткачёва 7 класс (Алгебра)
Найти все значения x, при которых верно равенство: 1) x(x-2)=0; 2) 2x(1-x)=0; 3) x(x+3)(x-4)=0; 4) (3-x)(x+2)(x-1)=0. Упростить выражение: 1) P+Q,если P=5a^2+b;


Ниже вариант решения задания из учебника Колягин, Ткачёва, Фёдорова 7 класс, Просвещение:
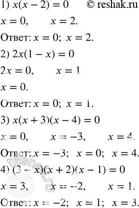
Найти все значения x, при которых верно равенство:
1) x(x-2)=0;
2) 2x(1-x)=0;
3) x(x+3)(x-4)=0;
4) (3-x)(x+2)(x-1)=0.
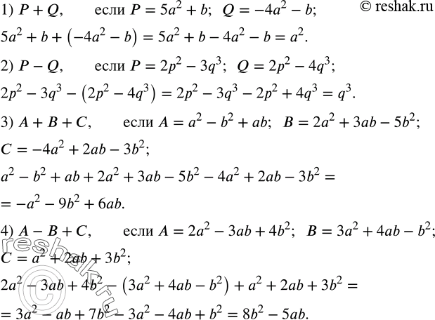
Упростить выражение:
1) P+Q,если P=5a^2+b; Q=-4a^2-b;
2) P-Q,если P=2p^2-3q^3; Q=2p^2-4q^3;
3) A+B+C,если A=a^2-b^2+ab; B=2a^2+3ab-5b^2; C=-4a^2+2ab-3b^2;
4) A-B+C,если A=2a^2-3ab+4b^2; B=3a^2+4ab-b^2; C=a^2+2ab+3b^2.
