Упражнение 261 ГДЗ Колягин Ткачёва 7 класс (Алгебра)
Решить уравнение: 1) (4x-51)/3-(17-3x)/4=(x+5)/2; 2) (3x-7)/4-(9x+11)/8=(3-x)/2; 3) (9x-5)/2-(3+5x)/3-(8x-2)/4=2; 4) (4x-3)/2-(5-2x)/3=(3x-4)/3. Решить уравнение: 1) 3(x-1)-2(3-7x)=2(x-2); 2) 10(1-2x)=5(2x-3)-3(11x-5); 3) 1,3(x-0,7)-0,12(x+10)-5x=-9,75; 4) 2,5(0,2+x)-0,5(x-0,7)-0,2x=0,5. *Цитирирование задания со ссылкой на учебник производится исключительно в учебных целях для лучшего понимания разбора решения задания.


Ниже вариант решения задания из учебника Колягин, Ткачёва, Фёдорова 7 класс, Просвещение:
Решить уравнение:
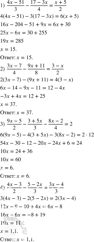
1) (4x-51)/3-(17-3x)/4=(x+5)/2;
2) (3x-7)/4-(9x+11)/8=(3-x)/2;
3) (9x-5)/2-(3+5x)/3-(8x-2)/4=2;
4) (4x-3)/2-(5-2x)/3=(3x-4)/3.
Решить уравнение:
1) 3(x-1)-2(3-7x)=2(x-2);
2) 10(1-2x)=5(2x-3)-3(11x-5);
3) 1,3(x-0,7)-0,12(x+10)-5x=-9,75;
4) 2,5(0,2+x)-0,5(x-0,7)-0,2x=0,5.
