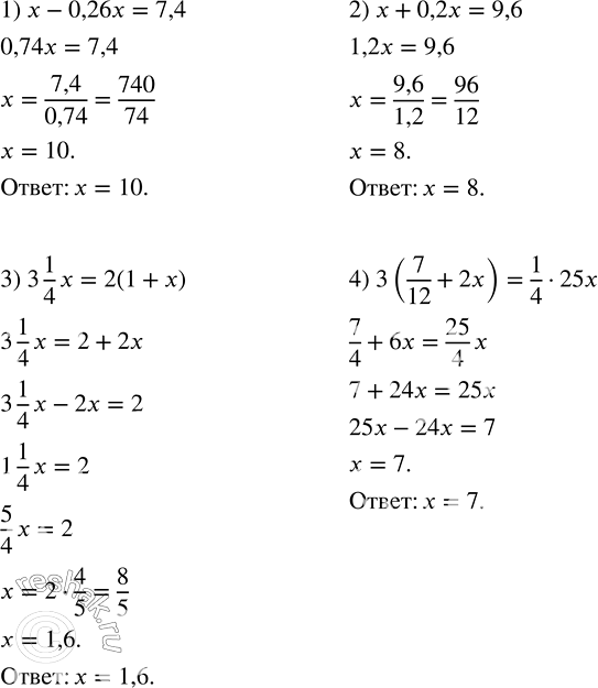
Упражнение 264 ГДЗ Колягин Ткачёва 7 класс (Алгебра)
По тексту высказывания составить уравнение и решить его: 1) если число x уменьшить на 26 %, то получится число 7,4; 2) если число x увеличить на 20 %, то получится число 9,6;


Ниже вариант решения задания из учебника Колягин, Ткачёва, Фёдорова 7 класс, Просвещение:
По тексту высказывания составить уравнение и решить его:
1) если число x уменьшить на 26 %, то получится число 7,4;
2) если число x увеличить на 20 %, то получится число 9,6;
3) произведение чисел 3 1/4 и x в 2 раза больше суммы чисел 1 и x;
4) сумма чисел 7/12 и 2x в 3 раза меньше одной четвертой числа 25x.
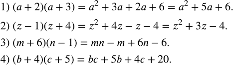
Выполнить умножение многочленов:
1) (a+2)(a+3);
2) (z-1)(z+4);
3) (m+6)(n-1);
4) (b+4)(c+5).
