Упражнение 285 ГДЗ Колягин Ткачёва 7 класс (Алгебра)
1) На первой ферме был сделан запас силоса 7 т 680 кг, а на второй - 9 т 600 кг. На первой ферме ежедневно расходуется 352 кг, а на второй - 480 кг силоса.


Ниже вариант решения задания из учебника Колягин, Ткачёва, Фёдорова 7 класс, Просвещение:
1) На первой ферме был сделан запас силоса 7 т 680 кг, а на второй - 9 т 600 кг. На первой ферме ежедневно расходуется 352 кг, а на второй - 480 кг силоса. Через сколько дней запасы силоса на обеих фермах станут равными?
2) На первую овощную базу было завезено 145 т 480 кг картофеля, а на вторую - 89 т 7 ц. С первой базы ежеднено вывозят в магазины по 4 т 40 кг картофеля, а со второй - по 2 т 550 кг. Через сколько дней на второй базе останется картофеля в 2 раза меньше, чем на первой?
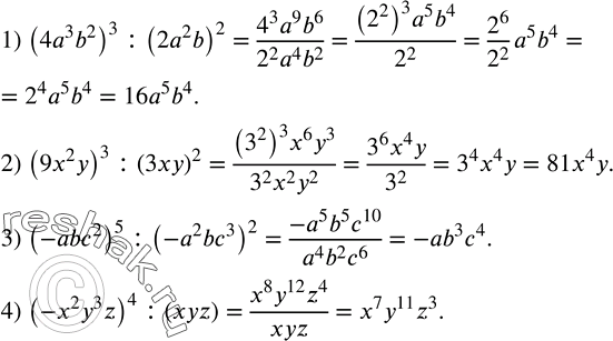
Упростить выражение:
1) (4a^3 b^2 )^3 :(2a^2 b)^2;
2) (9x^2 y)^3 :(3xy)^2;
3) (-abc^2 )^5 :(-a^2 bc^3 )^2;
4) (-x^2 y^3 z)^4 :(xyz).
