Упражнение 286 ГДЗ Колягин Ткачёва 7 класс (Алгебра)
1) Собранный виноград предполагалось уложить в ящики, по 9,2 кг в каждый. Вместо этих ящиков взяли другие, вмещающие по 13,2 кг каждый, и тогда потребовалось на 50 ящиков меньше.


Ниже вариант решения задания из учебника Колягин, Ткачёва, Фёдорова 7 класс, Просвещение:
1) Собранный виноград предполагалось уложить в ящики, по 9,2 кг в каждый. Вместо этих ящиков взяли другие, вмещающие по 13,2 кг каждый, и тогда потребовалось на 50 ящиков меньше. Сколько килограммов винограда было уложено?
2) Расстояние между станциями A и B пассажирский поезд проходит на 45 мин быстрее, чем товарный. Определить расстояние между этими станциями, если скорость пассажирского поезда равна 48 км/ч, а товарного - 36 км/ч.
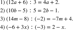
Выполнить деление:
1) (12a+6) :3;
2) (10b-5) :5;
3) (14m-8) :(-2);
4) (-6+3x) :(-3).
