Упражнение 287 ГДЗ Колягин Ткачёва 7 класс (Алгебра)
Суммарная масса первого и второго советских искусственных спутников Земли составила 592,4 кг. Первый спутник был легче третьего на 1243,4 кг, второй - на 818,2 кг.


Ниже вариант решения задания из учебника Колягин, Ткачёва, Фёдорова 7 класс, Просвещение:
Суммарная масса первого и второго советских искусственных спутников Земли составила 592,4 кг. Первый спутник был легче третьего на 1243,4 кг, второй - на 818,2 кг. Найти массу каждого из трех первых искусственных спутников Земли.
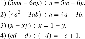
Выполнить деление:
1) (5mn-6np) :n;
2) (4a^2-3ab) :a;
3) (x-xy) :x;
4) (cd-d) :(-d).
