Упражнение 288 ГДЗ Колягин Ткачёва 7 класс (Алгебра)
При каком x значение 3(x-1)-2(3-x)-1 равно 1?Выполнить деление: 1) (3a^3 b-4ab^3 ) :(5ab); 2) (2c^5 d^4+3c^4 d^3 ) :(-3c^4 d^3 );


Ниже вариант решения задания из учебника Колягин, Ткачёва, Фёдорова 7 класс, Просвещение:
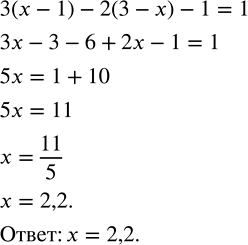
При каком x значение 3(x-1)-2(3-x)-1 равно 1?
Выполнить деление:
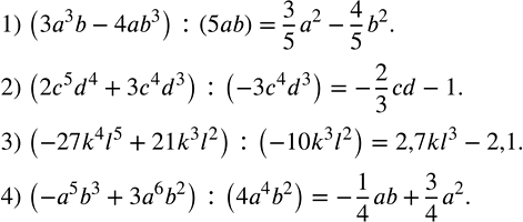
1) (3a^3 b-4ab^3 ) :(5ab);
2) (2c^5 d^4+3c^4 d^3 ) :(-3c^4 d^3 );
3) (-27k^4 l^5+21k^3 l^2 ) :(-10k^3 l^2 );
4) (-a^5 b^3+3a^6 b^2 ) :(4a^4 b^2 ).
