Упражнение 300 ГДЗ Колягин Ткачёва 7 класс (Алгебра)
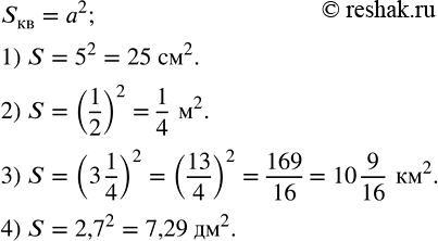
Вычислить площадь квадрата со стороной, равной: 1) 5 см; 2) 1/2 м; 3) 3 1/4 км; 4) 2,7 дм.Выполнить сложение и вычитание многочленов:


Ниже вариант решения задания из учебника Колягин, Ткачёва, Фёдорова 7 класс, Просвещение:
Вычислить площадь квадрата со стороной, равной:
1) 5 см; 2) 1/2 м; 3) 3 1/4 км; 4) 2,7 дм.
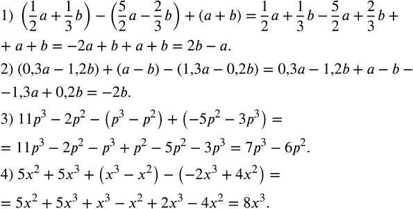
Выполнить сложение и вычитание многочленов:
1) (1/2 a+1/3 b)-(5/2 a-2/3 b)+(a+b);
2) (0,3a-1,2b)+(a-b)-(1,3a-0,2b);
3) 11p^3-2p^2-(p^3-p^2 )+(-5p^2-3p^3 );
4) 5x^2+5x^3+(x^3-x^2 )-(-2x^3+4x^2 ).
