Упражнение 302 ГДЗ Колягин Ткачёва 7 класс (Алгебра)
Записать произведение в виде степени: 1) 2•2•2•2•2•2; 2) 1/3•1/3•1/3•1/3•1/3; 3) x•x•x•x; 4) m•m•m•m•m; 5) (x-y)•(x-y)•(x-y); 6) m/n•m/n•m/n•m/n•m/n. Выполнить умножение многочленов: 1) (1/2 a+3b)(1/2 a-3b);


Ниже вариант решения задания из учебника Колягин, Ткачёва, Фёдорова 7 класс, Просвещение:
Записать произведение в виде степени:
1) 2•2•2•2•2•2;
2) 1/3•1/3•1/3•1/3•1/3;
3) x•x•x•x;
4) m•m•m•m•m;
5) (x-y)•(x-y)•(x-y);
6) m/n•m/n•m/n•m/n•m/n.
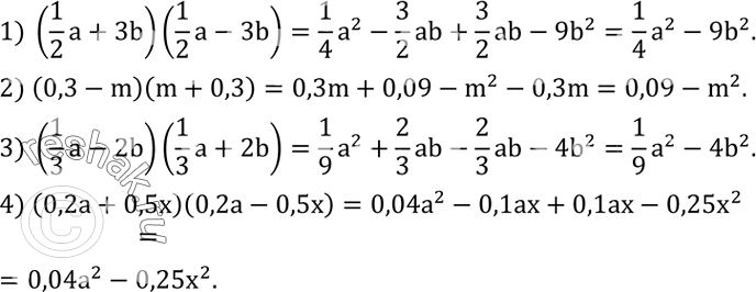
Выполнить умножение многочленов:
1) (1/2 a+3b)(1/2 a-3b);
2) (0,3-m)(m+0,3);
3) (1/3 a-2b)(1/3 a+2b);
4) (0,2a+0,5x)(0,2a-0,5x).
