Упражнение 304 ГДЗ Колягин Ткачёва 7 класс (Алгебра)
Упростить выражение, используя запись произведения в виде степени: 1) 9•9•9•a•a•a; 2) x•x•x•x•3•3; 3) x/y•x/y•x/y•(x-y)•(x-y); 4) a/b•a/b•(8a-b)•(8a-b)•(8a-b). Упростить выражение: 1) 5x^3 :x-(2x)^2+x^4 :(2x^2 );


Ниже вариант решения задания из учебника Колягин, Ткачёва, Фёдорова 7 класс, Просвещение:
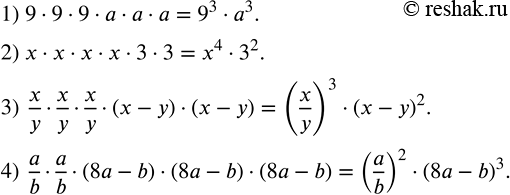
Упростить выражение, используя запись произведения в виде степени:
1) 9•9•9•a•a•a;
2) x•x•x•x•3•3;
3) x/y•x/y•x/y•(x-y)•(x-y);
4) a/b•a/b•(8a-b)•(8a-b)•(8a-b).
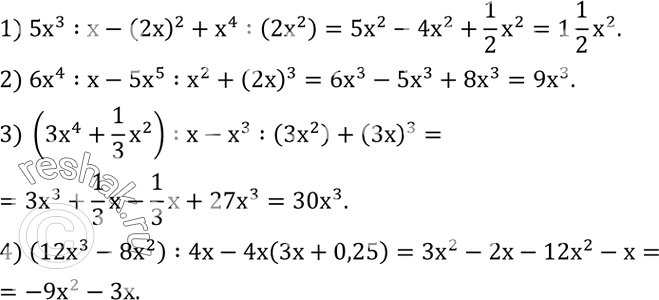
Упростить выражение:
1) 5x^3 :x-(2x)^2+x^4 :(2x^2 );
2) 6x^4 :x-5x^5 :x^2+(2x)^3;
3) (3x^4+1/3 x^2 ) :x-x^3 :(3x^2 )+(3x)^3;
4) (12x^3-8x^2 ) :4x-4x(3x+0,25).
