Упражнение 303 ГДЗ Колягин Ткачёва 7 класс (Алгебра)
Упростить выражение, используя запись произведения в виде степени: 1) 5•5•8•8•2•2; 2) 6•6•7•7•3•3•3; 3) 0,3•0,3•1/7•1/7•1/7•1/7; 4) 2/3•2/3•2/3•2,3•2,3. Выполнить умножение многочленов: 1) (5c-4y)(-8c-2x+6y);


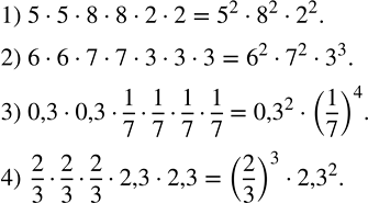
Ниже вариант решения задания из учебника Колягин, Ткачёва, Фёдорова 7 класс, Просвещение:
Упростить выражение, используя запись произведения в виде степени:
1) 5•5•8•8•2•2;
2) 6•6•7•7•3•3•3;
3) 0,3•0,3•1/7•1/7•1/7•1/7;
4) 2/3•2/3•2/3•2,3•2,3.
Выполнить умножение многочленов:
1) (5c-4y)(-8c-2x+6y);
2) (4b-c)(-5b+3c-4y);
3) (4x-3y+2z)(3x-3y);
4) (3a-3b+4c)(3a-5b).
